5.Sınıf Kesir Çeşitleri ( Basit Kesir – Bileşik Kesir – Tam Sayılı Kesir) konu Anlatımını PDF Olarak İndirmek İçin Tıklayınız..
- Basit Kesir
Basit Kesir; Pay’ı Paydasından küçük olan kesre Basit Kesir denir.
2. Bileşik Kesir
Pay’ı Paydasına eşit veya Pay’ı Paydasından büyük olan kesirlere Bileşik Kesir denir.
- Tam Sayılı Kesir
Bir Tam sayı ve Basit kesirden oluşan Kesirlere Tam Sayılı Kesir denir.
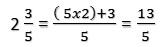
Tam Sayılı Kesirleri Bileşik Kesre Dönüştürme
Tam Sayılı Kesri, Bileşik Kesre dönüştürmek için Payda ile Tam kısmı Çarparız çıkan sonuç ile payı toplarız. Sonucu Pay kısmına yazarız.
Örnek:
Aşağıdaki Tam sayılı Kesirleri Bileşik Kesre dönüştürünüz.
Bileşik Kesri Tam Sayılı Kesre Dönüştürme
Bileşik Kesri, Tam Sayılı Kesre dönüştürmek için; kesrin Pay’ını Paydasına böleriz.
Bölüm Kısmını Tam kısım olarak yazarız.
Kalanı ise Pay kısmına yazarız. Payda aynı yazılır, değişmez.
Örnek:
Çözüm: Pay kısmını Payda ya böleriz.
Bölüm Tam kısım olarak, Kalan ise Pay olarak yazılır.
Etiketler:5.Sınıf Matematik Konu Anlatımı,5.Sınıf Basit Kesir,Bileşik Kesir,Tam Sayılı Kesir,5.Sınıf Kesirler Konu Anlatımı





Mükemmel